There are quite a number of studies that show imidacloprid and other neonicotinoid insecticides don’t do much damage to honeybees at levels expected in field conditions. Yet there is plenty of evidence that “country” bees do better than “farm” bees.
The big migratory beekeepers are the one’s suffering the most, often with losses over 100% a year, only staying in business by continually making splits from stronger colonies and adding new queens. Then, come fall, they combine the weaker colonies so they can get through the winter. These practices essentially allow more than one queen to help make young bees for the eventually recombined colonies that winter over. These beekeepers are moving bees from field to field in agricultural areas and the bees are frequently in range of crops treated with neonicotinoids.
But the bees don’t always die. Sometimes they are sitting next to treated fields and they do just fine. So what is going on?
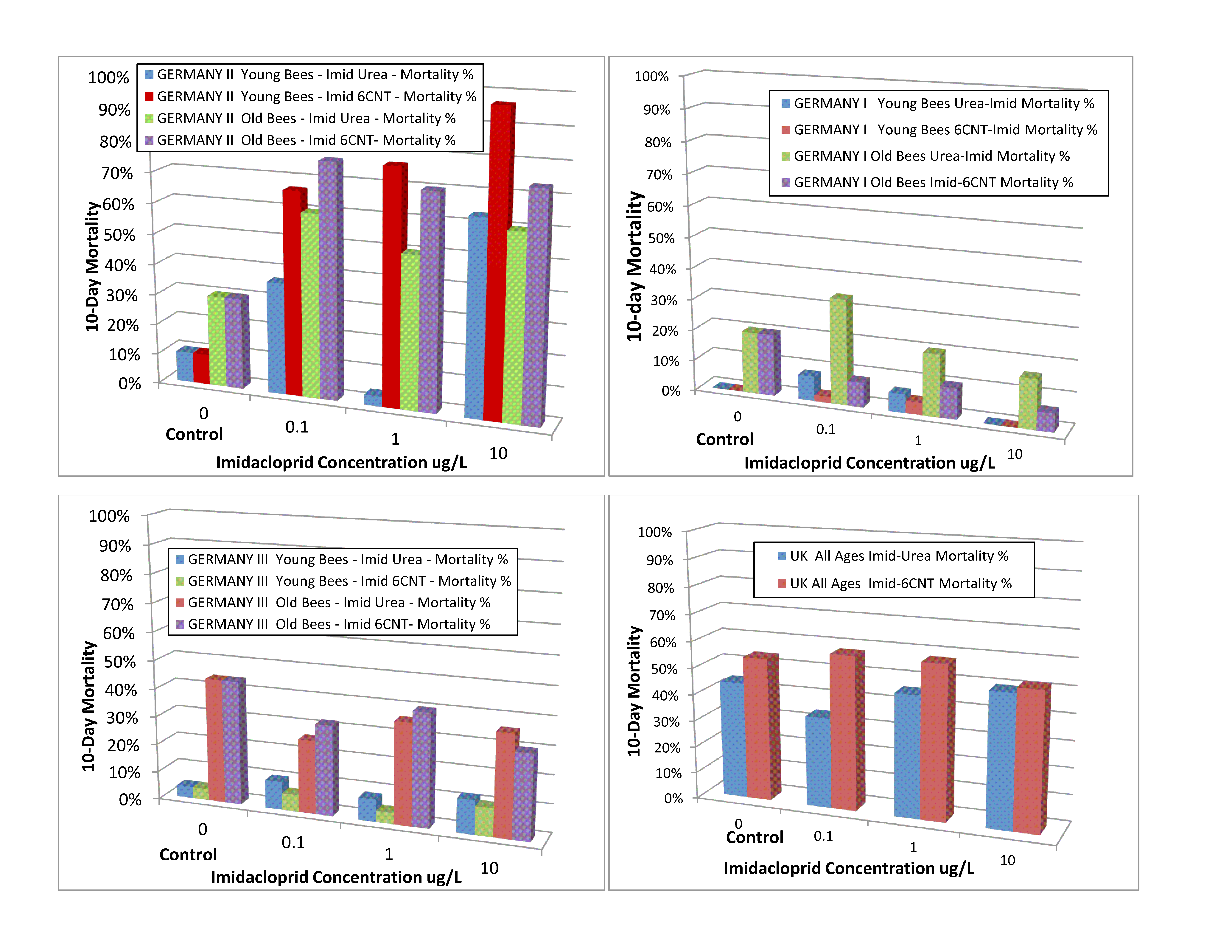
A little history is in order. The first study that really hinted at big problems with imidacloprid was done by Suchail, et.al. in 2001. This is the data I presented in The Case Against Imidacloprid. The researchers found lethal effects on the bees at very small doses ~1-10 ppb when fed chronically over ten days. As a response to this study, Bayer commissioned a study reported by Shmuck in 2004 to confirm or discredit the Suchail study. That study purports to show the imidacloprid is quite safe, but it deserves a closer look.
The Bayer study used four test sites, three in Germany and one in the UK and did pretty much the same experiments at each site. Three of the sites did not see much in the way of increase bee mortality at the sub lethal levels tested over several days. But one site did see a substantial effect. A good fraction of the Shmuck paper is an attempt to explain away the results of the Germany II site. The author suggests it was because of poor randomization procedures when they loaded the bees into the cages as the reason. But that doesn’t ring true because the absolute mortality levels are higher than any other site, as well as evidence for a strong effect of the toxin. If you are selling insecticide, you do not want to look very hard at why one of your tests shows such acute toxicity for chronic exposures. But it begs the question – what was different about this test site, and also the Suchail 2001 experiments, that showed such high chronic toxicity compared to the other tests sites and other published studies?

We can either throw out the work of the researchers involved, or look more closely for the missing factor(s). We really now have two independent studies where very low chronic doses of imidacloprid caused a very high percentage of the bees to die. We also have several studies where the bees seem not to be effected at the same low chronic doses. The statistics for all of the studies are fairly conclusive; we are not talking about doubt because of a small effect. We really have two very different sets of results, so why?
One thing that Shmuck noted was that in the Suchail study the bees only consumed ~12 µl/bee/day of sugar solution, whereas in his studies, most of the bees were eating 45-75 µl/bee/day. However, Shmuck’s Germany II site, the bees were only consuming about 38-40 µl/bee/day. Perhaps Suchail’s bees and Shmuck’s bees at the Germany II site were not as healthy as they could have been. The Shmuck paper should be seen as confirmation that there are times when very small chronic levels of imidacloprid can kill bees in some circumstances – probably when they are already somewhat sick.
Usually researchers try their best to only change a single variable at a time. When studying toxins, one wants to start with healthy bees. Undoubtedly, none of the hives sampled were outwardly sick. If as seems likely, a low dose of neoncotinoids can cause damage that is commonly not lethal, then we are fortunate that the two studies did find lethal effects.
Other studies have shown learning disabilities for bees give low doses of imidacloprid (Decourtye, 2004). The presence of insecticide may reduce individual bee’s performance in their hive duties, but such non-lethal impairment is not recorded by lethality studies. Bees which lose the ability to find their way home are effectively lost to the colony even if they have not died. Nervous system deterioration due to low levels of neonicotinoid insecticides may not kill bees directly, and so is invisible to studies that only count dead bees. However any number of added stressors could give rise to the death of already damaged bees.
What the two experiments are telling us is that the presence of very small levels of imidacloprid can be fatal to an otherwise tolerable colony. This observation goes a long way to help us understand the dynamics of CCD. Without the pesticide, the bees natural immune response is able to keep infection under control. Disease surveys usually find many pathogens present in healthy bee hives at non-threatening levels. External stresses can precipitate an outbreak of disease. Healthy, non-poisoned colonies may get sick, but with the natural immune response of the bees, the colony can usually recover from such outbreaks. Not so for bees with damaged nervous systems. Once a pathogen gets a foothold, it is likely to multiply and infect neighboring colonies, and a CCD outbreak is born.
